Tác động độ mở thương mại tới ổn định lạm phát tại các quốc gia châu Á
Nghiên cứu đánh giá tác động của độ mở thương mại đến ổn định kinh tế thông qua dữ liệu thứ cấp được thu thập từ Ngân hàng Thế giới tại 20 quốc gia châu Á. Nghiên cứu tiếp cận mô hình phân phối trễ tự hồi quy - ARDL (Autoregressive Distributed Lag) để ước lượng mô hình. Kết quả nghiên cứu cho thấy, khi độ mở thương mại có tác động tiêu cực đối với ổn định lạm phát của các quốc gia châu Á. Qua đó, nghiên cứu đề xuất hàm ý Chính phủ cần thực hiện các biện pháp quản lý giá để kiểm soát giá cả hàng hóa và dịch vụ trong nước. Điều này có thể bao gồm giám sát và kiểm soát giá cả, hạn chế tăng giá không hợp lý và tăng cường quản lý đầu tư.
Đặt vấn đề
Tác động của mở cửa thương mại đối với lạm phát đã thu hút được sự quan tâm đáng kể không chỉ của giới học thuật, mà cả các nhà hoạch định chính sách vì tầm quan trọng thiết yếu đối với việc thiết kế và thực hiện chính sách tiền tệ một cách tối ưu (Clarida và cộng sự, 2002). Tác động của độ mở thương mại đến ổn định lạm phát thông qua các quyết định định giá của các công ty phụ thuộc vào hai yếu tố: chi phí cận biên thực tế và giá tương đối của hàng hóa trong nước và hàng nhập khẩu. Giá trong nước và giá nhập khẩu ảnh hưởng đến giá mà các doanh nghiệp trong nước đưa ra thông qua kênh chi phí biên và nó ảnh hưởng đến độ co giãn của cầu theo giá của các doanh nghiệp. Do đó, độ mở thương mại ảnh hưởng đến độ nhạy cảm của lạm phát đối với cả chi phí cận biên và giá cả quốc tế tương đối.
Một mặt, sự gia tăng hội nhập thương mại và số lượng chủng loại sẵn có trên thị trường nội địa làm tăng độ co giãn của cầu theo giá và làm giảm mức chênh lệch giá mong muốn của doanh nghiệp. Nó cũng làm tăng mức độ nhạy cảm của mức giá làm tối đa hóa lợi nhuận của một công ty đối với mức giá của các đối thủ cạnh tranh. Thông qua kênh này, độ mở thương mại có tác động ổn định giá của nền kinh tế và ổn định lạm phát. Điều này có hai ý nghĩa đối với quyết định ấn định giá của các công ty. Đầu tiên, trong một nền kinh tế mở hơn, các công ty điều chỉnh giá trong một khoảng thời gian nhất định sẽ tốn kém hơn so với mức giá do các công ty không điều chỉnh giá đưa ra. Kết quả là, sau bất kỳ thay đổi nào trong chi phí cận biên thực tế, họ điều chỉnh giá theo một lượng ít hơn. Sự gia tăng tính cứng nhắc của giá thực này dẫn đến lạm phát trở nên ít phản ứng hơn với những thay đổi của điều kiện kinh tế trong nước và làm phẳng Đường cong Phillips (Phillips curve) là đường mô tả mối quan hệ thực nghiệm giữa tỷ lệ thất nghiệp và tỷ lệ thay đổi của tiền lương hoặc lạm phát. Đường này do nhà kinh tế người Anh - A.W.Phillips phát hiện ra vào năm 1958.
Mặt khác, áp lực cạnh tranh mạnh hơn làm tăng chi phí cơ hội của việc không điều chỉnh giá, dẫn đến doanh nghiệp sẽ điều chỉnh giá thường xuyên hơn, làm giảm tính cứng nhắc của giá danh nghĩa và khiến lạm phát nhạy cảm hơn với các cú sốc. Trong một nền kinh tế mở hơn, chi phí cơ hội của bất kỳ độ lệch giá nào cho trước của một công ty so với mức giá tối đa hóa lợi nhuận sẽ tăng lên, các công ty sẽ điều chỉnh giá của họ thường xuyên hơn. Điều này làm tăng khả năng phản ứng của lạm phát đối với những thay đổi trong chi phí cận biên và làm cho Đường cong Phillips dốc hơn. Mặt khác, hội nhập thương mại có tác động tích cực đến độ nhạy của lạm phát đối với giá tương đối của hàng hóa trong nước và hàng nhập khẩu. Khi số lượng hàng nhập khẩu trong nền kinh tế trong nước tăng lên, giá do các đối thủ cạnh tranh nước ngoài đưa ra trở nên quan trọng hơn trong việc xác định mức giá tối ưu của các doanh nghiệp trong nước và do đó, lạm phát trong nước trở nên nhạy cảm hơn với những thay đổi về giá tương đối quốc tế (Galí và Monacelli, 2005).
Có thể thấy, tác động tổng thể của độ mở thương mại đối với mối quan hệ giữa chi phí cận biên thực và lạm phát và độ dốc của Đường cong Phillips không rõ ràng. Do đó, nghiên cứu này giải thích tình huống thực tế tác động của độ mở thương mại và sự đánh đổi giữa ổn định lạm phát tại các quốc gia châu Á, từ đó đề xuất giải pháp điều hành chính sách thương mại nhằm ổn định lạm phát tại các quốc gia trong mẫu nghiên cứu.
Mô hình và phương pháp nghiên cứu
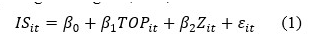
Để đánh giá tác động của độ mở thương mại đến ổn định kinh tế tại các quốc gia châu Á, nghiên cứu kế thừa các mô hình nghiên của Watson, A. (2016); Baharom và cộng sự (2008), Zhang và cộng sự (2019b), Kong và cộng sự (2021). Cụ thể như sau:
trong đó, i biểu thị quốc gia thứ i, t biểu thị năm t, IS (Inflation stability) đại diện cho biến ổn định lạm phát, TOP đại diện cho độ mở thương mại và biến Z đại diện cho các yếu tố tổng hợp kế thừa theo các nghiên cứu trước bao gồm: tỷ lệ việc làm (SD_EMP), trữ lượng vốn chính phủ (GOV), trữ lượng vốn tư nhân (PRI), cung tiền của nền kinh tế (M2_GDP) và vốn đầu tư trực tiếp nước ngoài FDI (Ln FDI).
Dữ liệu thứ cấp được thu thập từ Ngân hàng Thế giới (databank.worldbank.org), nghiên cứu này được tiến hành tại 20 quốc gia châu Á, bao gồm: MYS, PAK, PHL, SGP, THA, VNM ARM, AZE, BGD, ISR, KAZ, KGZ, BRN, BTN, CHN, GEO, IDN KHM, LKA, MDV trong giai đoạn khủng hoảng 2008 - 2009. Nghiên cứu tiếp cận mô hình ARDL để ước lượng mô hình. Ngoài ra, các kỹ thuật đồng liên kết khác yêu cầu các biến hồi quy được đưa vào liên kết có độ trễ như nhau thì trong cách tiếp cận ARDL, các biến hồi quy có thể dung nạp các độ trễ tối ưu khác nhau.
Kết quả nghiên cứu thực nghiệm
Kiểm định tính dừng của các chuỗi dữ liệu
Bảng 1. Kiểm định Augmented Dickey-Fuller
|
Variables |
ADF statistic |
Lags order |
p - value |
Conclusion |
|
SD_INFLATION |
-4.4111 |
5 |
0.01000 |
Stationary |
|
TOP |
-4.1148 |
5 |
0.01000 |
Stationary |
|
SD_EMP |
-4.4535 |
5 |
0.01000 |
Stationary |
|
GOV |
-3.8549 |
5 |
0.01786 |
Stationary |
|
PRI |
-3.4540 |
5 |
0.04869 |
Stationary |
|
LN_FDI |
-3.8664 |
5 |
0.01729 |
Stationary |
|
M2_GDP |
-3.9677 |
5 |
0.01231 |
Stationary |
Nguồn: Tác giả thực hiện
Bảng 1 cho thấy kiểm định Augmented Dickey-Fuller có các giá trị p - value của các biến đều nhỏ hơn mức ý nghĩa 5%. Do đó, ta có cơ sở để kết luận rằng các chuỗi dữ liệu đều có tính dừng. Nghĩa là dữ liệu đủ điều kiện để xây dựng mô hình ARDL giữa các biến phụ thuộc với các biến độc lập.
Các mô hình ARDL được ước lượng
Bảng 2. Kiểm định chỉ số AIC
|
SD_INFLATION |
TOP |
SD_EMP |
GOV |
PRI |
FDI |
M2_GDP |
AIC |
|
|
1 |
1 |
0 |
0 |
3 |
2 |
0 |
0 |
497.1454 |
|
2 |
1 |
0 |
0 |
3 |
1 |
0 |
0 |
497.5528 |
|
3 |
1 |
0 |
0 |
2 |
2 |
0 |
0 |
498.9026 |
|
4 |
2 |
0 |
0 |
4 |
2 |
0 |
0 |
498.9521 |
|
5 |
2 |
0 |
0 |
4 |
1 |
0 |
0 |
499.2552 |
|
6 |
3 |
0 |
0 |
4 |
2 |
0 |
0 |
499.9940 |
|
7 |
3 |
0 |
0 |
4 |
1 |
0 |
0 |
500.0709 |
|
8 |
1 |
0 |
0 |
2 |
2 |
0 |
1 |
500.3844 |
|
9 |
2 |
0 |
0 |
4 |
2 |
0 |
1 |
500.4480 |
|
10 |
3 |
0 |
0 |
4 |
1 |
0 |
1 |
501.8018 |
|
11 |
1 |
0 |
0 |
2 |
2 |
1 |
1 |
501.9090 |
|
12 |
2 |
0 |
0 |
4 |
2 |
1 |
1 |
501.9665 |
|
13 |
2 |
0 |
0 |
3 |
2 |
1 |
1 |
502.1163 |
|
14 |
2 |
0 |
0 |
4 |
1 |
1 |
1 |
502.1453 |
|
15 |
1 |
0 |
0 |
2 |
1 |
1 |
1 |
502.2212 |
|
16 |
1 |
0 |
0 |
1 |
1 |
1 |
1 |
502.4097 |
|
17 |
3 |
0 |
0 |
4 |
1 |
1 |
1 |
503.0473 |
|
18 |
3 |
0 |
0 |
4 |
2 |
1 |
1 |
503.1012 |
|
19 |
3 |
0 |
0 |
3 |
2 |
1 |
1 |
503.2028 |
|
20 |
2 |
0 |
1 |
3 |
2 |
1 |
1 |
503.6001 |
Nguồn: Tác giả thực hiện
Kết quả trong Bảng 2, chỉ số đánh giá mô hình ước lượng Akaike information criterion (AIC) với biến phụ thuộc là SD INFLATION. Mô hình ARDL (1, 0, 0, 3, 2, 0, 0) có chỉ số AIC thấp nhất là 497.1454, nên mô hình này được chọn để nội suy dữ liệu.
Kết quả ước lượng mô hình ARDL
Bảng 3. Kết quả ước lượng mô hình ARDL
|
Estimate |
Std. Error |
t value |
Pr(>|t|) |
||
|
(Intercept) |
9.25E-01 |
6.79E-01 |
1.363 |
0.1749 |
|
|
L(SD_INFLATION,1) |
5.61E-01 |
6.44E-02 |
8.714 |
3.40E-15 |
*** |
|
TOP |
1.28E-03 |
3.12E-03 |
2.492 |
0.0137 |
* |
|
SD_EMP |
-9.36E-02 |
2.20E-01 |
-0.425 |
0.6715 |
|
|
GOV |
9.32E-01 |
4.25E-01 |
2.196 |
0.0295 |
* |
|
L(GOV,1) |
-1.42E+00 |
5.88E-01 |
-2.417 |
0.0168 |
* |
|
L(GOV,2) |
4.97E-01 |
4.27E-01 |
1.165 |
0.2456 |
|
|
L(GOV,3) |
1.45E-01 |
1.05E-01 |
1.381 |
0.1693 |
|
|
PRI |
-9.36E-01 |
4.04E-01 |
-2.319 |
0.0217 |
* |
|
L(PRI,1) |
1.39E+00 |
5.58E-01 |
0.411 |
0.6814 |
|
|
L(PRI,2) |
-5.89E-01 |
3.93E-01 |
-1.498 |
0.1362 |
|
|
FDI |
9.35E-13 |
2.25E-12 |
0.416 |
0.6777 |
|
|
M2_GDP |
-5.37E-03 |
2.84E-03 |
-1.893 |
0.0601 |
. |
|
Signif. codes: 0 ‘***’ 0.001 ‘**’ 0.01 ‘*’ 0.05 ‘.’ 0.1 ‘ ’ 1 |
|||||
|
Adjusted R-squared: 0.3641 |
|||||
|
F-statistic: 9.253 on 12 and 161 DF, p-value: 1.924e-13 |
|||||
|
Shapiro-Wilk normality test: W = 0.90921, p-value = 6.83e-09 |
Nguồn: Tác giả thực hiện
Theo Bảng 3, mô hình ARDL (1,0,0,3,2,0,0) ước lượng được:
Các giá trị p - value của kiểm định t ở cột Pr(>|t|) cho thấy các biến ln(TOPt), ln (SD_EMPt), ln (GOVt-3), ln (GOVt-3), ln (PRIt-2) và ln (FDIt) tồn tại không có ý nghĩa trong mô hình với mức ý nghĩa 10%. Giá trị Adjusted R-squared cho biết mô hình giải thích được 36.41% sự biến thiên của dữ liệu. Mức độ này chấp nhận được. Kiểm định F cho giá trị p – value là 1.924 x 10-13 < 0.05, điều này giải thích mô hình có tồn tại một cách có ý nghĩa thống kê. Kiểm định Shapiro-Wilk cho giá trị p - value bằng 6.83 x 10-9 < 0.05 nên phần dư của mô hình này có phân phối chuẩn.
Kết quả ước lượng cho thấy, độ mở thương mại TOP có tác động đến ổn định lạm phát tại các quốc gia châu Á với hệ số β dương là 0.561 ở mức ý nghĩa 5%. Điều này cho thấy, khi độ mở thương mại càng tăng, làm gia tăng hay gia tăng sự biến động của lạm phát, tức là sự ổn định của lạm phát giảm tại các quốc gia châu Á.
Kết luận
Nghiên cứu này cho thấy khi độ mở thương mại có tác động tiêu cực đối với ổn định lạm phát của các quốc gia châu Á. Hội nhập thương mại và việc tham gia vào các hiệp định thương mại, hợp tác kinh tế quốc tế làm gia tăng áp lực cạnh tranh cho các doanh nghiệp, qua đó làm tăng chi phí cơ hội của việc không điều chỉnh giá, dẫn đến việc điều chỉnh giá thường xuyên hơn, làm giảm tính cứng nhắc của giá danh nghĩa và khiến lạm phát nhạy cảm hơn với các cú sốc. Để khắc phục được điều này, Chính phủ cần thực hiện các biện pháp quản lý giá để kiểm soát giá cả hàng hóa và dịch vụ trong nước. Điều này bao gồm giám sát và kiểm soát giá cả, hạn chế tăng giá không hợp lý và tăng cường quản lý đầu tư.
















